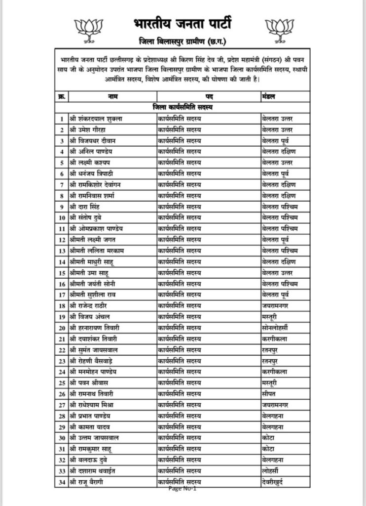
वीरेन्द्र गहवई, बिलासपुर. जिला भाजपा ग्रामीण की नई कार्यकारिणी की घोषणा कर दी गई है. भाजपा प्रदेश अध्यक्ष किरण सिंह देव और प्रदेश महामंत्री संगठन पवन साय की अनुशंसा पर जिला भाजपा ग्रामीण अध्यक्ष मोहित जायसवाल ने नई कार्यकारिणी का गठन किया है. नई कार्यकारिणी में 51 कार्यसमिति सदस्य, 14 स्थायी आमंत्रित सदस्य और 38 विशेष आमंत्रित सदस्य शामिल किए गए हैं.

स्थायी आमंत्रित सदस्यों में कई वरिष्ठ नेता शामिल
स्थायी आमंत्रित सदस्यों में केंद्रीय राज्य मंत्री तोखन साहू, उप मुख्यमंत्री अरुण साव, विधायक सुशांत शुक्ला, राजा पांडे, पूर्व सांसद लखन साहू, पूर्व विधायक डॉ. कृष्णमूर्ति बांधी, रजनीश कुमार सिंह, प्रबल प्रताप सिंह जूदेव और जिला पंचायत अध्यक्ष राजेश सूर्यवंशी सहित कई वरिष्ठ नेताओं को शामिल किया गया है.




- छत्तीसगढ़ की खबरें पढ़ने यहां क्लिक करें
- लल्लूराम डॉट कॉम की खबरें English में पढ़ने यहां क्लिक करें